多杀菌素的研究及其在储粮害虫防治中的应用
2009-06-04 16:29:28 来源:本站原创 评论:0 点击:
(1. 国家粮食局科学研究院,100037;2. 中国农业大学国家农业生物技术重点实验室,100094)
摘要 多杀菌素(spinosad)是一种具有触杀和摄食毒性的广谱生物杀虫剂,能有效防治多种储粮害虫、应用剂量低、持效期长、低残留、无交互抗性,具有对害虫高效、对环境安全、对哺乳动物低毒的优异特点。因而被认为是一种极具前景的“绿色”储粮防护剂。文中就多杀菌素的结构、理化性质、作用机理和生物活性、发酵生产技术以及在储粮害虫防治中的应用等进行了综述。
关键词 多杀菌素 多刺糖多孢菌 生物杀虫剂 储粮防护剂
虫害是导致储粮数量损耗,引起粮食霉变,降低粮食品质的主要因素[1]。我国目前对储粮害虫的防治主要依赖于化学药剂。但是长期大量使用化学药剂,一方面导致了储粮害虫普遍对化学药剂产生抗性[2];另一方面,有的杀虫剂影响非靶标昆虫,某些益虫被无意中消灭,导致其次要害虫急剧增长,产生灾难性后果;更重要的是化学药剂残留的问题日趋严重,不仅造成了严重的环境污染,而且给人类的健康带来巨大的威胁[3]。为此,各国科学家都试图去寻找一种新型安全的杀虫药剂来防治储粮害虫。
多杀菌素(spinosad)是一种具有触杀及摄食毒性的新型微生物源杀虫剂,具有对害虫广谱高效、对人、非靶标动物和环境极为安全、可生物降解的优异特点,并因此获得美国“总统绿色化学品挑战奖”[4, 5]。多杀菌素首先于1997年在美国被批准登记,商品名为Tracer,用在棉花上。2005年,多杀菌素已经被批准用于73个国家的250多种作物上。由于多杀菌素能有效防治多种储粮害虫、用药量极少、持效期长、安全高效、低残留,因而被认为是一种极具前景的“绿色”储粮防护剂。2005年美国已批准多杀菌素用于存储谷物与种子保护。目前,国内对多杀菌素的研究尚处于试验阶段。
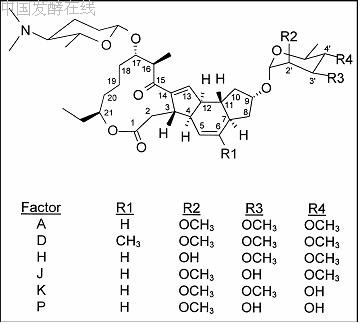
1 多杀菌素的结构
多杀菌素,又名刺糖菌素,是由土壤放线菌多刺糖多孢菌(Saccharopolyspora spinosa)发酵产生的次级代谢产物[6]。如图1所示,多杀菌素为新型大环内酯类抗生素,但和一般的大环内酯类抗生素相反,多杀菌素没有抑菌活性,却有杀虫活性[6]。
图1 多杀菌素的结构图
