好气性发酵的空气净化系统节能探讨
2010-01-05 20:09:23   来源:本站原创   评论:0 点击:

陆飞浩 岑文学
(宁波浩邦生物技术有限公司,宁波 315040)
摘要:对好气性发酵空气净化系统提出了节能设计新方案,与传统方案比较研究,指出采用高效率分离器替代一般旋风分离器,用于系统除油水,是简化系统、节约能源的关键。并举例计算论证两方案在工艺上和经济上的优劣。
关键词:好气性发酵 气液分离 膜过滤器 高效旋击分离器
  好气性发酵指微生物发酵过程需要氧气,用于基质氧化、菌体生长和产物代谢。而培养液中溶解氧浓度很低,一般仅为0.21mol/M3,因此工业生产中需不断给发酵罐通入一定压力和流量的无菌空气,以维持发酵液的溶解氧水平处于正常范围[1]。
这使得无菌空气制备成为发酵工厂的重点,这不仅是工艺要求,更因为它耗用了大量的资源,包括电能、水、热能、冷量。据有关谷氨酸厂家统计,仅压缩空气电耗就占整个发酵工厂用电的1/3强[2](通风比平均按1:0.2 vvm计)。因此在国家新能源政策和可持续发展要求下,特别是在当前我国发酵行业新一轮投资热中,无菌空气系统的节能设计显得非常重要。由于膜过滤器的普遍采用,使空气净化取得了快速进展,而要保证膜过滤器充分发挥效能,压缩空气中油水、杂质的去除显得尤为重要,本文就着重探讨这方面的空气净化预处理。

  1 传统无菌空气系统净化工艺
一般发酵用无菌空气系统工艺流程如图一。

其中冷却是使空气温度达到露点以下,析出其中水、油份,再用旋风分离器除去,为尽可能多除去油水,一般配置两级冷却两级除油水设备,而且实际运行中有的采用溴化锂机组冷冻水或氨制冷冷盐水,使冷却温度远低于露点温度,有厂家在夏季冷至10℃左右;基于对膜过滤器优点的充分认识和国产膜组件性价比的提高,国内发酵空气系统已基本采用膜过滤器。但膜过滤器比较“娇嫩”,对空气中油水杂质很敏感,前面处理不彻底,就会影响膜过滤器的寿命和除菌效率,从而增加运行费用。故为保护过滤器降低空气相对湿度,一般又用蒸汽加热空气至60℃—70℃。
  1.1 传统空气净化工艺的缺点
  分析以上工艺,不难发现该工艺有流程长、压力损失大、处理效率低和能耗高等缺点。当然,问题不在膜过滤器上,主要还是在其前面的油水杂质净化处理装备上。
旋风分离器作为传统的气水分离设备,结构简单,在设计工况运行时,具有较高的效率。但空气流量是个变量,它随发酵进程不同的溶解氧需求而变,上下波动幅度可达100%。因此旋风分离器分离效率不稳定,平均仅70%左右。空气中的水分虽经冷却后析出,但在旋风分离器中分而不离,部分仍随出气口带出,加之下部出水口阀门没有自控装置,一般保持微开常态,就只会漏气而不出水。这样,虽在较低的温度下,增加分离级数来去除水分,也是事倍而功半。
  2 空气净化系统节能新工艺
2.1 节能新工艺(见图二)

从图二看出,高效旋击分离器替代了传统旋风分离器,分离油水杂质,而使空气净化系统大大简化,空压机出来到总过滤器进口之间,只有一次冷却、一次分离和一次加热,而且冷却和加热的温差比原来可相对减小,一般减幅在10℃左右,综合能耗则大大下降。


在湿空气未饱和时,影响膜过滤器瞬时效率的因素是空气的相对湿度。一般国产膜过滤器要求空气相对湿度低于50%-60%,进口的70%以下即可。综合考虑,空气中水份不是越低越好,应以安全性和经济性并重为原则。新工艺就是以此为原则设计。
2.2 高效旋击分离器结构原理
新工艺中高效旋击分离器为关键设备。它是在离心分离的基础上,根据液雾和粉尘撞击凝聚原理,并设有特殊的导稳流分离装置、具有很高分离效率的专利技术产品。高效旋击分离器气液分离效率可达99.99%,油水杂质一次性分离,连雾状水汽也可被凝聚分离,且分离效率稳定。处理风量在20M3/h—50000 M3/h之间,阻力损失一般在0.004MPa左右。

原理简介(见图三):


气体从分离器进气口进入,和排气管壁碰撞后往下流动,再和导流装置进行多次碰撞,使细微液雾(滴)和微粒撞击凝聚成大液滴和大颗粒,在导流装置作用下,气流作向下旋转运动,在离心力作用下,液滴(微粒)被分离,而后在稳流装置作用下,被分离后的液滴(微粒)不再飞扬带出,由分离器下部排液管派出,而气流经中心管由排气管排出。
    3 两工艺方案举例计算
下面以单台300 M3发酵罐生产空气需求为例,分别计算两工艺方案中净化系统的热负荷,再比较阻力损失减小带来的影响。
  3.1 热负荷计算
设空气量V=4500M3/h,空压机进口空气压力P1=0.1MPa(绝压,下同),干球温度T1=36℃,相对湿度φ1=90%,湿含量X1=0.0342kg/kg干空气。出压缩机压力P2=0.4MPa。
设空气冷却分两级,先冷至50℃,后至20℃。经计算:干空气质量流量G=4731.88 kg/h,压缩机出口温度T2=134.73 ℃,50℃时压缩空气(饱和状态)湿含量X1=0.0202 kg/kg干空气,凝结水量W1=66.25 kg/h;再分别计算干空气冷却、水蒸汽冷却和水蒸汽冷凝的热负荷,合计为Q1=140010.8 kcal/h。(具体计算可参考文献[3],下同)
再计算空气冷至20℃时,压缩空气(饱和状态)湿含量X2=0.00364 kg/kg干空气,凝结水量W2=78.36 kg/h;再分别计算干空气冷却、水蒸汽冷却和水蒸汽冷凝的热负荷,合计为Q2=81145.6 kcal/h。
两项合计凝结水量W=144.61 kg/h,热负荷Q" = 221156 kcal/h。而实际使用中,即使冷凝器运行在设计工况,由于一般旋风分离器等除油水设备的效率较低的问题,凝结水不可能完全除尽,将夹带至加热器,增加了加热器热负荷。若加热器面积不够或蒸汽温度、流量低,就会出现加热空气相对湿度达不到过滤器要求,甚至出现游离水油份危害过滤器膜件的情况。
可计算,若分离设备效率按75%计,将有W3=23.73 kg/h的游离水分夹带在空气中,设加热后成60℃湿空气。分别计算干空气加热、水蒸汽加热和水份加热和汽化的热负荷,合计为Q3=60031 kcal/h,其中游离水分的加热和汽化耗能占23.8%。
若采用一次冷却到30℃,并用高效旋击分离器分离冷凝后水分的方案,如上计算,将结果汇总于表一。

表一、两方案计算结果表


3.2 计算结果分析
3.2.1 湿空气状态分析
从表一可看出,计入分离器效率因素,总体除水效果传统方案要比节能方案差。后者比前者多除水8.77 kg/h,加热器后,空气湿含量后者比前者低18%。为了维持较低的相对湿度,传统方案须采用较高的加热温度,消耗更多的热能。
  3.2.2 热负荷分析
比较两个方案总热负荷,后者要比前者低24.9%,约78589 kcal/h。考虑传热损失和能量转换效率等因素,乘系数1.5,计算能耗差可达117884 kcal/h,相当于每天节约404.2 kg标煤(7000 kcal/kg计),按普通煤价500元/吨计,就是202元/天、6.7万元/年(年生产330天计)。
3.2.3 压降计算分析

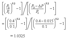
另外,新工艺因加热器、分离设备的减少和管路的简化,可比传统工艺减少阻力损失0.01MPa-0.02MPa之间,按ΔP=0.015MPa 计算功率比[4]:

即空压机出口压力减小0.015MPa,可节电3.25%,压缩机比功按5.0kw/(M3/min) 计[5],则年节电量为:
5.0/60×4500×24×330×3.25%
=96525 kwh
按工业用电价格0.5元/kwh 计,节约电费为4.8万元/年。
两项合计,单台300 M3发酵罐项目节约能源费用为11.5万元/年。
压缩机出口压力的降低,还直接导致

排气温度的降低,又可减少空气冷却器的热负荷。因此新方案实际节能效果更大。
  4 总结
  4.1 由上述计算分析得出,好气性发酵无菌空气系统净化预处理关键是分离除去空气中的油水尘埃等杂质,而选用效率高的气液分离设备至关重要。高效旋击分离器因其分离效率高,且空气中的水分、油质和尘埃等能一次性去除,可取代传统旋风分离器,使得空气系统装备减少、工艺简化,而且节约能源。该节能新工艺已在750 M3/min 发酵空气系统中成功应用。
  4.2 空气系统中冷却温度未必越低越好,加热温度也不是越高越好,应从生产和能耗上综合平衡考虑,确定空气冷却和加热温度。
采用提高空气加热温度的办法,来降低高湿含量空气的相对湿度,并没有真正解决问题,高温、高湿含量空气的长期作用对过滤器膜件寿命不利。同时,由于水份是杂菌的载体,对发酵罐来说,带入了较多的水份,产生染菌的概率相对就大。所以彻底去除空气中的游离水分是解决问题所在。

参考文献
[1] 梅乐和,姚善泾等. 生化生产工艺学[M] . 北京:科学出版社,1999:111-112.
[2] 朱鸿飙等. 节能型压缩空气系统设计[J]. 发酵科技通讯,1993,(22)(2):39-43.
[3] 金伟平等. 压缩空气冷却器设计[J]. 发酵科技通讯,2001,(30)(2):38-41.
[4] 冯容保. 空压机的节能[J]. 发酵科技通讯,1999,(28)(1):28-29.
[5] 高慎琴. 化工机器[M] . 北京:化学工业出版社,1992:38-50.

相关热词搜索:净化系统

上一篇:高效分离技术在好气性发酵中应用
下一篇:好气性发酵节能空气预处理系统再述

分享到: 收藏
频道总排行
频道本月排行